ABB張力計的傳感頭由鐵磁材料制作而成,該傳感器的中央有2組線圈成一定角度穿透過鐵磁材料,這2組線圈分別叫做次級線圈和原線圈,在原線圈中通以穩定的交流電流,當傳感頭受壓時,導致鐵磁材料中次級線圈的磁場發生變化,從而在次級線圈中產生一個交變電流,這個電流通過整流按比例以直流輸出。
ABB張力計的組成:
如下圖所示:一套完整的ABB張力計由兩個壓頭和一個處理單元(包括控制單元、隔離放大器和接線端子箱)組成,壓頭一般安裝在導向輥(有時也叫測張輥)軸承座和機械框架之間。當帶鋼以一定的包角通過導向輥時,由于帶鋼的張力作用兩個壓頭分別會產生一個壓力信號,該壓力信號送到處理單元處理后轉換為帶鋼的張力,然后通過Profibus接口送到自動化系統用于帶鋼張力的閉環控制。


ABB張力計的測量原理:
壓頭是一個焊接鋼裝置,一般有兩種類型的壓頭:水平類型和垂直類型。當帶鋼以一定包角通過測張輥時,帶鋼的張力T將產生兩個分量,一個是垂直方向的分量FV,另一個是水平方向的分量FH。如果我們選用水平類型的壓頭,則可以測出FH;如果我們選用垂直類型的壓頭,則我們可以測出FV。另外,測量輥和帶鋼的包角可以獲得,從而我們可以計算出帶鋼的張力。下面分別給出水平類型和垂直類型壓頭的測量原理:
垂直類型壓頭測量原理


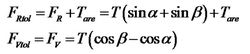
如上圖所示:和水平類型的壓頭類似,測量力取決于帶鋼張力T和包角。另外,它和水平類型壓頭所不同的是測量力還有一部分來自導向輥及軸承的重量,通過內部的電子補償我們可以得到一個與帶鋼張力成正比的測量信號。測量力由下列方程計算:


其中:FR: 在測量方向的張力分量
Frtol: 在測量方向的合力
FV: 垂直于測量方向的張力分量
FVtol: 垂直于測量方向的合力
T: 帶鋼張力
Tare: 輥子及軸承的重量
α、β: 導向輥和帶鋼的包角
水平類型壓頭測量原理


如上圖所示:壓頭測量力的大小,一部分取決于帶鋼的張力T,另一部分取決于帶鋼的包角,由下列方程式決定: